Mandate
Offices
Governing Bodies
Staff
Sponsoring Organisations
Access to Information
Right to Information
Constitutionalism
Access to Justice
Police Reforms
Prison Reforms
Fact Finding Missions
Commonwealth Secretariat
Events
Declarations and Documents
CHOGM
CMAG
Commonwealth Meetings
Countries
What is the right to information?
What should a law contain?
How are laws implemented?
International standards
Commonwealth standards
Member states' laws and papers
Workshops
National RTI
State RTI Laws & Papers
Training / Workshops
Hindi website
Activities
Legislation
International articles
India articles
Ghana articles
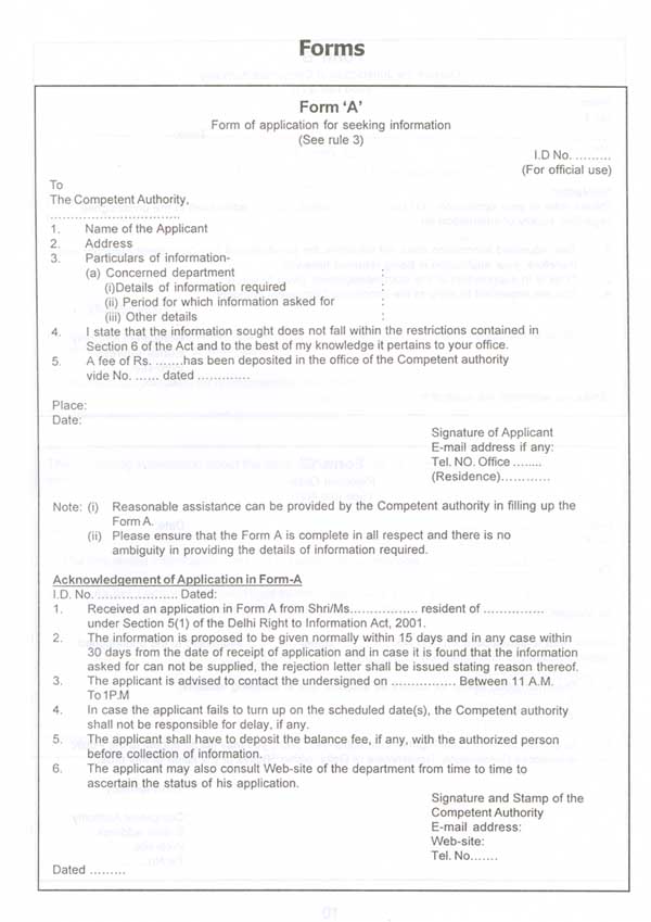
Application Forms